Биологи зафиксировали по-настоящему интересное явление: как оказалось, серые попугаи способны помогать друг другу, выстраивая при этом сложные логические цепочки.
По мнению ряда ученых, оказание помощи представителям своего вида не имеет для животных смысла с эволюционной точки зрения. И все же мы, по-видимому, неоднократно наблюдали альтруизм среди братьев наших меньших: например, приматов, собак, китообразных, ластоногих и даже летучих мышей. Теперь ярко выраженные особенности такого поведения увидели у пернатых.
Добряком-альтруистом оказался один из титанов птичьего разума — серый попугай, или жако (psittacus erithacus). Новые эксперименты показали, что эти птицы с радостью помогают друг другу приобретать лакомства, не предполагая и не ожидая, что их альтруизм будет взаимным.
«Мы обнаружили, что африканские серые попугаи добровольно и спонтанно помогают знакомым попугаям достичь цели без очевидной немедленной выгоды для себя», — говорит биолог Дезире Брукс (Désirée Brucks) из Института орнитологии имени Макса Планка.
Исследовательская группа разработала тест на альтруизм и опробовала его на двух разных видах попугаев — восьми серых попугаях и шести горных арах (primolius couloni). Птиц предварительно обучили обменивать жетоны на угощения. Затем «добровольцев» поместили в прозрачный корпус с перегородкой между ними. В передней части коробки были отверстия, через которые можно было взаимодействовать предметами с человеком, а разделительная стена между птицами имела отверстие, через которое они могли обмениваться между собой.
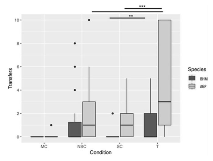
Условия проведения эксперимента
Концепцию обмена поняли как серые попугаи, так и горные ара. Но когда одной из двух птиц давали жетоны, только серые попугаи, а не ара, сознательно передавали предметы своим друзьям, чтобы они получили пищу. Семь из восьми серых попугаев предоставили своему партнеру жетоны: всего они подарили сородичам 157 из 320 «монет». Преимущественно тем, с кем они имели более прочные связи.
Частота передачи жетонов ара (BHM) и жако (AGP)
Важным наблюдением, касающимся серых попугаев, было то, что птицы, судя по всему, не испытывают никакой зависти, если другой получает больше пищи. Все эти качества жако ученые связывают с их моногамией, а также необходимостью тесного взаимодействия в относительно небольших группах в дикой природе.

Комментарии (0)